Scurtcircuitul trifazat. Generalități
Scurtcircuitul trifazat apare când cele trei faze ale sistemului de alimentare sunt în contact electric. Dacă defectul între cele trei faze este în acelaşi loc, la o anumită distanţă faţă de sursa de tensiune, şi impedanţele de defect sunt nule, scurtcircuitul se numeşte simetric.
Sursa de alimentare poate să fie un generator sincron dintr-o centrală electrică sau un transformator din S.T. sau P.T.
a) Scurtcircuit trifazat simetric;
b) Diagrama fazorilor tensiuni de fază, tensiuni de linie şi curenţi de scurtcircuit, pentru
scurtcircuitul trifazat simetric.
Impedanţele echivalente, până la locul defectului, ale celor trei faze sunt egale între ele şi au valoarea:
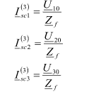
Curenţii de scurtcircuit, deoarece se păstrează simetria sursei de alimentare, considerând sursa de putere infinită, se calculează cu:
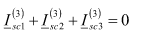
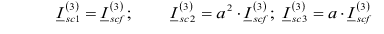
Deoarece sistemul de alimentare este simetric:
şi curenţii de scurtcircuit se pot determina cu:
Ţinând seama de relaţiile de mai sus, rezultă:
dar:
1 + a 2 + a = 0
deci:
Rezultă că suma geometrică a curenţilor de scurtcircuit trifazat simetric, care străbat cele trei faze, este egală cu zero.
Defazajele dintre tensiunile de fază şi curenţii de scurtcircuit trifazat, sunt egale între ele:
Normal, în regimul de scurtcircuit, reactanţele inductive echivalente ale reţelelor sunt mult mai mari decât rezistenţele lor echivalente
şi din acest motiv, în multe situaţii, curentul de scurtcircuit se consideră pur inductiv (defazat în urma tensiunii de fază cu
). În realitate rezistenţa echivalentă
nu se poate neglija. La scurtcircuitele în L.E.A. sau L.E.C. de lungime foarte mare, se consideră
<
(
pentru L.E.A. şi
pentru L.E.C.).
În cazul unor scurtcircuite din instalaţiile de înaltă tensiune ale centralelor, sau aflate în apropierea acestora, rezistenţele elementelor parcurse de curent (generatoare, transformatoare etc.) nu sunt mari, de aceea se consideră: <
