Producerea energiei electrice în centralele termoelectrice

În ţara noastră centralele termoelectrice deţin ponderea producerii de energie electrică. În centrala termoelectrică energia internă a combustibilului (legată chimic în interiorul său) este transformată, prin ardere, în energie termică care apoi este cedată fluidului de lucru (apă-abur). Energia cinetică a aburului este convertită de turbină în energie mecanică care, în continuare, este transformată în energie electrică cu ajutorul generatorului sincron.
După felul energiei furnizate, centralele termoelectrice se împart în: centrale termoelectrice cu condensaţie, care produc numai energie electrică, şi centrale electrice de termoficare, care produc atât energie electrică cât şi energie termică.
Cele mai importante circuite ale unei termocentrale cu condensaţie sunt: circuitul combustibilului, circuitul aerului de combustie, circuitul apă-abur, circuitul electric şi circuitul apei de răcire pentru condensarea aburului rezidual.
Circuitul combustibilului
Combustibilul este adus în focarul cazanului prin transportor cu bandă, la încălzirea cu combustibil solid, sau conductă, la încălzirea cu combustibil lichid sau gazos. În focar,prin ardere, combustibilul eliberează căldura necesară vaporizării apei. Substanţele volatile sunt preluate de circuitul aerului iar rezidurile rămase (cenuşa) sunt evacuate. În funcţie de calitatea combustibilului procentul rezidurilor este de 1% până la 50%.
Circuitul aerului
Oxigenul necesar arderii combustibilului este luat din aerul introdus în cuptor printr-o conductă ce reglează debitul necesar de aer. Înainte de introducerea în cuptor, aerului i se ridică temperatura în preîncălzitorul de aer. După ardere, aerul împreună cu substanţele volatile din combustibil, sunt evacuate la coş. O parte din căldura gazelor reziduale este recuperată cu preîncălzitorul de aer.
Circuitul apă-abur
În cazan apa este încălzită şi transformată în abur. Acesta este supraîncălzit şi se destinde apoi în turbină. Rotorul turbinei este pus în mişcare de energia cinetică a aburului. În felul acesta energia aburului este transformată în energie mecanică. Cantitatea cea mai mare de abur rezidual, de la ieşirea din turbină, este condensată în condensator. O cantitate mică de abur rezidual este folosită pentru preîncălzirea apei cu care se alimentează cazanul. Circulaţia apei din acest circuit este asigurată cu pompele de condens şi de apă rece.
Circuitul electric
Turbinele generatorul sincron şi generatorul de curent continuu (numit şi excitatorice) sunt montate mecanic pe acelaşi arbore. Excitatoricea, cu o putere de 5-6% din puterea generatorului sincron, alimentează cu tensiune continuă înfăşurarea de excitaţie a generatorului. Cea mai mare parte a energiei electrice produsă în centrală, este expediată la beneficiari prin staţia de transformare şi liniile electrice aeriene. O mică parte a energiei (7 până la 10%) este utilizată de consumatorii proprii.
Circuitul apei de răcire
Apa de răcire a serpentinei condensatorului este antrenată în circuitul de răcire cu o pompă, iar apa încălzită prin transferul de căldură din condensator este răcită în turnul de răcire. Pentru producerea unui kWh de energie electrică este necesară o cantitate de 0,2…0,4 m³ de apă.
Dacă termocentrala este amplasată în apropierea unui râu cu debit mare, turnul de răcire nu mai este necesar. Apa de răcire este refulată din râu, iar cea caldă este deversată tot în râu, priza de apă rece fiind poziţionată în amonte de locul în care este deversată apa de la ieşirea serpentinei condensatorului. La centralele electrice de termoficare, apa încălzită din circuitul de răcire este folosită pentru termoficare.
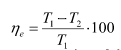
Procesele de transformare a energiilor dintr-o centrală electrică sunt însoţite de pierderi. Randamentul termic maxim al unei centrale termoelectrice este pentru ciclul Carnot:
unde este temperatura sursei calde iar
- temperatura sursei reci (temperatura mediului ambiant). Obişnuit
=
K iar
=
